'Tell the jury about Motown': Smokey Robinson testifies in historic witness stand appearance
The legendary singer and songwriter was a defendant in a federal breach of contract lawsuit by an ex-manager. It was his first time testifying in court.

After three days at the defense table, Smokey Robinson settled into his seat on the witness stand in a Los Angeles federal courtroom and described himself as “very emotional.”
“My character is being attacked. My integrity is being attacked,” the music icon and former frontman for The Miracles said.
Identifying himself as “William Robinson, Jr.,” the man behind classics such as “The Tracks of My Tears” and “The Tears of a Clown” told the eight people sitting in the jury box: “It’s my fault that you’re here. … Because I’m not going to stand by and let somebody take total advantage of me and assassinate my character.”
It was the 83-year-old’s first time testifying in court, and it capped a three-day trial in a breach of contract lawsuit against Robinson by former manager Eric Podwall. Jurors on Aug. 14 concluded Robinson owes Podwall $2,000, far short of the $942,300 Podwall sought and exactly the amount the Motown legend acknowledged Podwall may be due.
The men shook hands and briefly hugged after the verdict. Podwall left the courthouse without commenting; his lawyers later released a statement saying the case “has always been about principle for Eric Podwall.”
“Talent managers should be paid for their services, and talent should not be allowed to disregard their contractual obligations. … Sometimes principle is more important than money. This is one of those times,” said Jesse A. Kaplan of Freedman & Taitelman LLP.
Robinson’s lawyer Sasha Frid called the verdict “a great result and victory for Smokey.”
“He did not want to be taken advantage of by a former manager,” said Frid, of Miller Barondess, LLP.
Robinson signed autographs for two jurors and took photos with them as well as court staff and U.S. District Judge Otis D. Wright II, who presided over the trial. He thanked the jurors and told reporters in the hallway, “I’m happy. We won.”
The paltry damages award is nothing compared to the money Robinson likely paid his attorneys to defend against Podwall’s lawsuit, which was filed in 2016. But Robinson made clear in his testimony he was fighting on principle.
“I’ve been in the music since before probably Eric’s parents were even born,” Robinson said. “And I have an impeccable record about paying my people and who I work with.”
The music legend’s witness stand appearance doubled as an oral history of Motown. He described working with founder Berry Gordy to build what was a local Michigan operation into an international sensation. He spoke of driving with Gordy to Owosso, Michigan, to retrieve the first Motown records from a record-pressing plant, at one point slipping off the icy highway and needing a bulldozer to push them back onto the road.
They returned to Detroit and took the records to “the two top Black radio stations,” Robinson said. But Gordy also declared, “We’re not just going to make Black music. We’re going to music for the world. We’re going to make music that has some great beats, and always some great recognizable stories. Because we want them to be everlasting,” Robinson said.
“So this is what we set out to do. And, thank God, we accomplished that,” Robinson testified. “Motown was a once in a lifetime musical event. There had never been anything like Motown before Motown.”
Robinson said he wishes he’d saved letters he received “from the white kids” in areas of Detroit where Black people knew not to go. The letters said, “We love your music. But our parents don’t know that we have it. Because if they knew they might make us throw it away.”
Soon, Robinson testified, parents were writing to say, “We are glad that you’re making music that we don’t mind our kids hearing.”
“Those letters today would be invaluable. You couldn’t even put a price on them,” Robinson testified. “They were breaking down barriers because of the music.”
Robinson also recalled staying in segregated hotels and seeing ropes separating white and Black people in concert halls when touring in the South. But when he returned for concerts a year or so later, things were different.
“You see white boys with Black girlfriends, and Black boys with white girlfriends, and the kids were dancing together. Because the music broke down those barriers and brought them together. That’s what Motown is and was and has done,” Robinson said, tearing up as his voice cracked with emotion.
From the lectern, Frid tearfully told his client he’d never before become emotional when conducting a direct examination.
“Thank you for that story, sir,” said Frid, who represents Robinson with Miller Barondess partner David Schecter.
Frid told the jury in his closing argument that Robinson had “done a lot of things” in his more than 60-year career, from helping start Motown to performing all over the world and writing “some of the most iconic songs of our time.”
“But one thing he never did was testify in trial in a court of law. This was his first time today. So you guys are lucky to see it,” Frid said.
Mixed verdict followed question about affirmative defenses
Jurors deliberated about 10 hours over two days before concluding about 5:30 p.m. on Monday, Aug. 14, that Robinson breached a valid agreement with Podwall but owed him only $2,000 for doing so.
The damages award matches the amount of money Podwall said he was owed from $20,000 that Verve Records paid Robinson in 2014 in advance of his duet album Smokey and Friends.
Prior to reaching a verdict, jurors asked if Robinson’s alleged “affirmative defenses” pertained to the Verve advance as well as commissions on more than 100 live performances between 2013 and 2016.
Robinson asked his attorneys, “if that’s the hold up, can we just pay him $2,000 and it’s over?” while discussing the question at the defense table. Judge Wright referred jurors to a couple instructions already given, and they returned three hours later with a verdict that ordered Robinson to do exactly what he’d suggested.
Frid argued three affirmative defenses on Robinson’s behalf:
Unilateral mistake, meaning Robinson mistakenly believed the contract had been changed to state Podwall wouldn’t collect commissions on live performances.
Waiver, meaning Podwall gave up his right to enforce Robinson’s contractual obligation to pay live performance commissions
Estoppel, meaning Podwall intended for Robinson to believe he wouldn’t be required to pay the commissions.
The jury verdict was a mixed bag that appeared to be an overall win for Podwall until the final page, when it awarded him only $2,000 in damages.





On the one hand, jurors said Robinson mistakenly believed the contract precluded Podwall from collecting commissions. On the other hand, they concluded Podwall didn’t know Robinson was mistaken and didn’t use Robinson’s confusion to take advantage of him. Jurors also concluded Podwall intended for Robinson believe he wouldn’t have to pay the commissions, but they then concluded Robinson knew Podwall wanted to preserve his right to collect the commissions.
One of two jurors who spoke with attorneys after the verdict said the verdict form led to a circular argument in the jury room. The juror didn’t expand, but the question about affirmative defenses applying to the $2,000 indicates jurors saw it as a separate legal issue from the $940,300 in live performance commissions but were forced to address both issues at the same time because the verdict form didn’t distinguish them.
Kaplan, who represented Podwall with Bryan J. Freedman, told jurors in his closing argument that Robinson essentially admitted on the witness stand that Podwall is owed $2,000. That’s after Robinson told Kaplan point blank in cross-examination, “As far as I’m concerned, he can have it.”
Robinson was more circumvent in his direct testimony, instead saying he paid Podwall for his first $30,000 advance but not for the second, $20,000 advance.
“I thought the record company was paying him,” Robinson said. He turned the questions around on Frid, asking him from the witness stand if he had a copy of Smokey and Friends.
“We’ll get there, sir,” Frid said.
As Robinson’s answer stretched on for three minutes, Frid asked, “Sir, this is your first time testifying in a court of law, right?”
“Ummmm, yes. Like this,” Robinson answered.

Robinson dismissed Smokey & Friends as a failure, calling it “one of the least successful albums I’ve ever had in my entire life.”
“I don’t believe that before this trial started that anyone in this room had ever heard of it or seen it,” Robinson said.
He said the idea for the album formed before Podwall worked for him, and Podwall cut his production manager Brian French out of the project. Robinson also dismissed Podwall’s testimony about trying to secure Robinson a tour with Diana Ross and about Podwall’s connections to Clive Davis, calling Ross “one of my closest friends in the world.”
“We grew up together, four doors down the street from each other. I’ve known her since she was eight years old. … I was the one who brought Diana Ross and The Supremes to Motown,” Robinson said.
Robinson said he can’t remember speaking with Podwall about Ross but, “I’m sure that if he had brought it to me, knowing me, I would have said OK.” Regarding Davis, Robinson said he’d performed at Davis’ Grammy party several times, including an impromptu performance after scheduled headliner Justin Timberlake fell ill.
“Nobody had set that up for me. He just called me directly. Clive is my friend,” Robinson said.
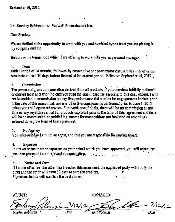
A one-page contract, and a debate over ‘your services’
Robinson signed the one-page contract at issue in September 2012 during a meeting with Podwall at Robinson’s home in Los Angeles.
The paragraph about Podwall’s 10 percent commission states that the compensation is “derived from all products of your services,” which Podwall’s lawyer said referred to Robinson’s services.
Robinson’s lawyer said it referred to Podwall’s services, but the wording also is so vague that jurors must look at intent, and Robinson has made clear he would never give Podwall 10 percent of his tour money. Rather, Robinson said he hired Podwall to secure him dramatic acting roles in TV shows and movies apart from his managers at the venerable Hollywood talent agency William Morris Endeavor.
He testified that he believed Podwall had changed the contract to make clear he wasn’t entitled to live performance commissions.
“I work with a lot of great people. I trust all of them,” Robinson said. “I guess I let my guard down with Eric. And I trusted the fact that he had done what he said he was going to do.”
Prior to hiring Podwall, “I have always been managed by people connected to Motown,” Robinson said. “So that was like my protection, because we were family. … I didn’t have to scrutinize what they were saying in the management contracts.”
One issue in trial was Podwall’s lack of persistence in pursuing the alleged debt. He didn’t invoice Robinson for the alleged $940,300 in commissions beyond a $78,000 invoice, but he testified in trial that Robinson told him he couldn’t pay him at the time because of financial problems related to his first wife.
Robinson emphatically denied that on the witness stand, saying he’s never not paid his employees and was instead “a guy venting” to Podwall “as a friend” about financial difficulties involving his ex-wife, Claudette, whom he told jurors, “I love explicitly.”
“She and I are the best of friends. We love each other. We’re not in love anymore, but we love each other,” Robinson said, adding that she was his girlfriend when was 14. Robinson was detailing how he and Claudette never argued, only debated, and always refused to go to bed angry when his lawyer interjected.
“Alright, Mr. Robinson, let me —” Frid said.
“Can I finish this?!” Robinson exclaimed, then continued, “I was just venting one day with him….I just said that to him as a friend. And then for him to use it against me? I’ve got many, many people and bills that I pay all the time.”
Robinson said he believes Podwall was “trying to shaft me.”
“My name can mean dollar signs to certain people,” he said.
Robinson said he eventually fired Podwall because he wasn’t securing him film and TV acting roles like he was hired to do.
Podwall was paid a $5,000 commission for a Kia car commercial Robinson filmed that never aired, but Robinson said he later learned that his managers at William Morris arranged the commercial and Podwall had nothing to do with it.
“Rather than me owing him $2,000 … He owes me $5,000 for that, because I paid him that, and he didn’t do it,” Robinson said.
Robinson acknowledged he probably complained about his hotel accommodations to Podwall, saying he’s paid his dues “for a long time to stay in nice places where I go.”
“If I complained about it, then you can believe it was a dive,” Robinson said.
In cross-examination, Kaplan tried to press Robinson about him hiring lawyers for a lawsuit against his ex-wife over her claims to his music catalogue. He asked Robinson about hiring the law firm Fox Rothschild LLP, but Robinson said he didn’t recognize the name.
“I don’t remember anybody named Rothschild or Fox in there,” Robinson said. He said his attorneys were “Dan” and “Claudia somebody.” Kaplan’s questions were aimed at bolstering Podwall’s testimony about Robinson citing financial difficulties with his ex-wife as a reason not to pay him, but Judge Wright cut off the questions.
“Show me how that lawsuit has any bearing on this lawsuit here,” Wright said. “Please stick to the issues here. Unpaid commissions here.”
‘I just had a great dose of music growing up’
Robinson spent much of his Aug. 11 visit to the witness stand talking about his career, answering questions from Frid such as, “Tell the jury about Motown.”
Wearing a bright blue tie that complemented his eyes, Robinson said he became interested in music “when I could first hear.”
“I was very, very blessed. I grew up in a home where there was always music. There was music of every type played at my house,” Robinson said.
His mother and two older sisters played gospel, blues, classical and jazz. Robinson remembers hearing bebop music from Dizzy Gillespie “and all those people like that,” as well as Bach and Chopin and The Five Blind Boys of Mississippi.
“I just had a great dose of music growing up,” Robinson testified. “Since I knew how to spell, I have always tried to write poems and songs.”
He believes he wrote his first song when he was in 1st grade at Dwyer Elementary School in Detroit. He was portraying Uncle Remus in a school play, and his teacher Mrs. Campbell played a melody on the piano. Robinson wrote some words to it, and she allowed Robinson to sing them at the beginning and end of the play. His mother was in the audience “and you would have thought that I was George Gershwin, or somebody like that because she was so proud.”
Robinson’s mother died when he was 10, and his oldest sister returned to the home with her 10 kids to take care of him. Their house “was a gathering place,” he said, and he and the neighborhood paperboy, Ronnie White, formed a band called the Five Chimes when he was 11 years old. They sang on street corners, in recreation centers and “everywhere we could to try to attract the attention of the girls,” Robinson said.
“I was not the most talented person that I grew up with as far as I’m concerned,” Robinson testified. He said he’s known “Aretha Franklin since she was five years old” because “she grew up right down the corner from me.”
“Like I said, Diana Ross grew up right down the street from me. The Temptations, right across the avenue,” Robinson said.

Robinson said his “No. 1 singing idol” was Jackie Wilson — “Higher & Higher” — and he noticed that every Wilson record he had was written by Berry Gordy. He secured an audition for his group The Miracles, and instead of performing popular songs, they performed five songs Robinson wrote himself. They were rejected as unable to compete with The Platters and their female member, but Gordy also took an interest in Robinson’s songwriting and “started to mentor me on writing songs.”
Robinson said Gordy told him that every song needs “a beginning and a middle and an ending that tied together.” Within two years, Gordy had borrowed $800 to start Motown Records.
Asked to name some of his songs, Robinson named only one, testifying that his “international anthem” as a songwriter is “My Girl,” which he wrote for The Temptations and also performs himself. (He also wrote “My Guy” for Mary Wells.) He sounded out the opening beat on the witness stand and said even in countries where most people don’t speak English, people start singing “My Girl” the moment they hear the beat.
“We don’t even have to start singing “My Girl.” As soon as they hear, “bombombom, bombombom, bombom — they know what’s getting ready to happen,” Robinson said. “Even the people who don’t speak English know it verbatim. Music is the barrier breaker.”
Frid asked if he’s been credited with writing more than 4,000 songs. Robinson said it “sounds like bragging to me,” but he feels songwriting is part of him, and he still writes “all the time.” He referenced his new album, “Gasm.”
“I think that God gives everybody gifts. And one of the gifts that he gave me was to be able to write songs,” Robinson said.
Podwall mentioned Robinson’s appearance on American Idol when testifying about the work he’d secured for him, but Robinson said he’s “been doing those TV shows probably since Eric was in diapers.”
He said his songs have been covered by “some wonderful people” including the Beatles, The Rolling Stones and James Taylor, and he isn’t bothered when his music is sampled into new songs.
“There are millions of songs in the world. So for these kids to take one of my songs out of millions of songs….Wow,” Robinson said. “That’s a songwriter’s dream come true.”
Judge, court staff embrace Robinson’s stardom
Robinson addressed his famous friendliness with fans, testifying that he doesn’t mind taking photographs with fans or signing autographs and “will worry if it stops.”
“The ones who come in and they get cocky? They're here today and gone tomorrow. Because they didn't start this. Show business started before my great great great great grandmother was born. It will go on and on and on and on,” Robinson said.
He modeled this approach during his four days at the First Street Courthouse in Los Angeles. He happily posed for photos with court staff as well as jurors from a civil rights trial in an upstairs courtroom, and he greeted the gallery with a casual “Hey, how you all doing?” as he left the witness stand during a break in testimony.
Judge Wright embraced Robinson’s stardom with gusto, bear hugging him in the hallway as jurors left after their first few hours of deliberation and posing for photos with Robinson and court staff after the verdict.
A court reporter’s mother watched the first part of Robinson’s testimony from the front row of the gallery, and court staff photographed her and Robinson in the courtroom together before the jury entered.
“That’s the man right there! I have loved him forever,” she said. Smokey kissed her on her cheek, much to to the delight of her and the court staff. He did it again for the cameras.
“Oh, my God. This more than made her day,” the judge said.

At one point in Robinson’s fast-paced testimony, the judge joked about the reporter’s inability to ask him to slow down, telling her, “It’s obvious you aren’t going to tell Mr. Robinson a darn thing.”
Law360 headlined an Aug. 9 article about the trial, “Star of Smokey Robinson Breach Trial is Judge Otis D. Wright.”
“Smokey Robinson may be a living legend, but the spotlight shined Wednesday on U.S. District Judge Otis D. Wright in the jury trial over a breach of contract suit against the singer, with the judge repeatedly questioning witnesses at length and drawing laughter from the courtroom with several asides,” began the article by reporter Craig Clough.

“Judge Wright frequently took over for the attorneys on the second day of the trial, including when he interrupted cross-examination of plaintiff Eric Podwall on several occasions for minutes at a time,” the article continued. “At one point, Judge Wright pushed Podwall to explain his answers about being unaware if his company ever sent invoices to Robinson's company for the majority of the $1 million he is seeking in the case.”
A 2007 George W. Bush appointee, 79-year-old Wright is a Tuskegee, Alabama, native who served in the U..S Marine Corps and was a deputy sheriff for 11 years before earning his law degree in 1980. His hands-on approach to witness exams is typically reserved for bench trials where the judge is the fact finder, not a jury trial where the jurors are tasked with deciding disputed facts.
According to Law360, Wright had no qualms about discrediting Podwall in front of the jury, at one point calling his testimony “almost painful.”
Then with the jury out of the courtroom on Friday, the judge made his distain for Podwall’s claims absolutely clear, saying it’s “absurd” to think Podwall deserves 10 percent of Robinson’s compensation when he didn’t “lift a finger” regarding the live shows.
"I don't think he needed a teenager to help him,” Wright said. The judge later pointed at Robinson and said sarcastically, “Maybe you can grow up to be somebody someday.”
Court documents:
Aug. 15, 2016 Notice of removal from Los Angeles County Superior Court
Dec. 11, 2018 1st amended complaint
Feb. 26, 2019 Order partly denying and partly granting motion to dismiss
Oct. 30, 2019 Order denying defense summary judgment
Sept. 28, 2021 Oder denying defense summary judgment
Jan. 14, 2022 Plaintiff’s trial memo
Aug. 14, 2023 Jury instructions
Aug. 14, 2023 Jury question about affirmative defenses and judge’s answer
More documents are available at no cost through the CourtListener file.
I’ll be live on YouTube Thursday at 12 p.m. PST / 3 p.m. EST with Law360 reporter Craig Clough to discuss Smokey Robinson’s trial and answer questions in the chat. If you can’t watch live, the video below will be available to watch at your convenience.
Thank you for supporting my independent legal affairs journalism. Your paid subscriptions enable me to go in-depth and unfiltered on major issues that regular news organizations don’t cover. If you’re not already a paid subscriber, please consider purchasing a subscription.





