Lawyer says Quamarvious Nichols' YSL plea deal is 'as clean as humanly possible'
Nichols is the first codefendant of rapper Young Thug to take a plea deal since the trial judge asked last week if defense attorneys wanted a mistrial. I interviewed his lawyer.
Update:
In a trial with an international audience, lawyer Bruce Harvey embraced an “out-of-sight, out-of-mind” defense for his client.
Quamarvious Nichols was accused of murdering a rival gang member in an organized crime conspiracy prosecutors say is led by rapper Jeffery “Young Thug” Williams, but jurors haven’t heard much from Harvey and his co-counsel, Nicole Westmoreland, during the 11 months of testimony.
“I’m not going to jump up and down every day for every statement to remind the jury that Mr. Nichols is sitting back there,” Harvey told me in a phone interview Tuesday from his office in Atlanta, Georgia. “Our strategy was to sit in the back, and they’re going to forget who the hell he is.”
So when Westmoreland interrupted testimony last week to complain that a witness indicated Nichols had been in prison, she made it count. She didn’t get the mistrial she requested, but she sparked negotiations that ended Tuesday with Nichols pleading guilty to a single felony charge of racketeering conspiracy in a deal Harvey called “a great result for Mr. Nichols.”
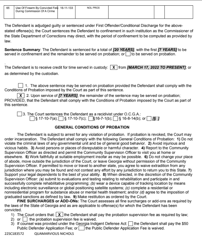
Fulton County Superior Court Judge Paige Reese Whitaker on Tuesday sentenced Nichols to 20 years in Georgia state prison, but he’ll serve seven years and spend the remaining 13 on probation. He’ll be credited for 29 months already spent in jail.
Nichols is not required to testify against Williams or his other four trial codefendants, who are expected to continue fighting their charges in front of the same jury that’s been hearing evidence since last November. He also didn’t admit the core allegation behind the 65-count indictment, which is that the racketeering conspiracy is the work of a criminal street gang. Young Thug’s record label is Young Stoner Life, but prosecutors say YSL also means Young Slime Life and is the name of his gang.
In our call, Harvey told me prosecutors’ offer to Nichols was “dramatically different” from every other deal in the case.
In the others, “there was always a written plea agreement with factual acknowledgements requiring potentially testimony, and there were acknowledgements like ‘YSL is a gang. I was a member of the gang. I participated in these events on behalf of the gang,’” Harvey said. “And Mr. Nichols had none — zero — none of that. So his was as clean as humanly possible.”
Atlanta police arrested Nichols and codefendant Shannon Stillwell after a car chase that began at a Chick-fil-A restaurant on March 17, 2022, three days after a citizen found Shymel Drinks shot to death in car at an intersection near Interstate 20 in Atlanta.
Fulton County Deputy District Attorney Simone Hylton said in court Tuesday that surveillance video shows Stillwell following Drinks in a Ford Fusion while Nichols follows in an Audi. She said prosecutors know about “a phone call between occupants of the car that Mr. Stillwell was in and occupants of the car that Mr. Nichols was in. That communication was to the fact that you need to get on FaceTime.”
Hylton said Drinks stopped at a red light in the far left lane, and Stillwell’s Fusion pulled into the middle lane while Nichols’ Audi stopped in the far right lane. A few moments later, Stillwell and Nichols drove through the red light, “leaving the car with Mr. Drinks sitting at that light.”
“About 30 minutes later, a Good Samaritan sees that car still sitting there, approaches the vehicle, and Mr. Drinks is now deceased inside of that vehicle,” Hylton said.
Hylton said prosecutors were willing to dismiss the murder charge against Nichols because they believe the shots that killed Drinks were fired from Stillwell’s Fusion, not Nichols’ Audi.
She included Drinks’ murder as a factual basis for Nichols’ guilty plea to racketeering conspiracy, but Harvey said in court on Tuesday, “We categorically deny that we participated in any way in the unfortunate death of Mr. Drinks.”
Nichols already pleaded guilty in separate cases to two drug charges from 2017 and 2018, and Harvey said those crimes are the basis for his racketeering conspiracy plea.
“We categorically deny — categorically deny — any other allegations other than those two events that are sufficient for a factual basis,” Harvey told Judge Whitaker.
Whitaker accepted Nichols’ guilty plea and, for the first time, publicly commented on the overall merits of the case.
“I find having heard the evidence up to the point of trial right now that there is evidence of at least one overt act in furtherance of the conspiracy, and that there is evidence that would fall within the required statute of limitations to establish this RICO conspiracy,” the judge said.
A two-page document filed after the hearing lists the murder count as dismissed, as well as two counts of felon in possession of a gun or knife and two gang-related counts.
“There is no underlying murder case. There is no underlying gang case. There is no underlying agreement that he committed any act of violence,” Harvey told me in our phone call.


Lawyers for Stillwell and trial codefendant Deamonte Kendrick apparently rejected plea offers from Fulton County District Attorney Fani Willis. Lawyers for both issued statements on Tuesday that said they’re continuing with trial.
“Mr. Stillwell has been wrongfully accused of the crimes alleged in this indictment, dating back to 2015, for nearly a decade. We have never wavered,” Max Schardt, a solo practitioner in Atlanta, told me in an email. “Mr. Stillwell is innocent, and we are fully prepared to continue to fight this case in Court once the trial resumes. We appreciate and continue to ask for the support of so many people who have followed this case for the past two years.”
Doug Weinstein of The Abt Law Firm in Atlanta said Kendrick “is innocent of all charges wrongfully leveled against him.”
“While offers were extended to Mr. Kendrick, it is not Mr. Kendrick’s responsibility to accept any offer so that the DA can save face,” Weinstein said in a written statement.
“It is not even clear to me, as Mr. Kendrick’s counsel, that Madam DA Willis has any realistic understanding of the present state of her case against him. The case against Mr. Kendrick is completely circumstantial, and the witness box is littered with witnesses whose testimony has not met the DA’s expectations. Oblivious to that which is obvious to any observer, the State presses on and we are fully engaged in this fight to save Mr. Kendrick’s life,” Weinstein continued.
In addition to racketeering conspiracy, Stillwell is charged with two counts of murder for Drinks’ death and for the Jan. 10, 2015, murder of Donovan Thomas, who was shot to death outside two barbershops on Atlanta’s McDaniel Street. Thomas was the leader of the Inglewood Family Bloods gang, which gang investigators have testified was feuding with Young Thug’s YSL gang.
Thomas was close with rapper Rayshawn “YFN Lucci” Bennett, and gang investigators say YSL members feuded with Lucci and other IF gang allies in the seven years between Thomas’ murder and Drinks’ murder. Jurors have heard about several shootings, including one that targeted Lucci’s mother’s home in 2015, and prosecutors plan to present evidence of a stabbing in jail in February 2022 that targeted Lucci a month before Drinks was shot to death.
Stillwell and Nichols were charged with Drinks’ murder alongside alleged YSL gang associates Damekion “Lil Dee” Garlington and Miles Farley, who are in jail awaiting trial. The murder also is the basis for four of the 191 overt acts supporting the racketeering conspiracy charge.
Drinks’ murder followed the murders of alleged Young Slime Life gang associates Darius Ford and Christian McMiller, who were shot to death on Interstate 75/85 in Atlanta on March 11, 2022. Prosecutors allege associates of Lucci’s YFN gang murdered Ford and McMiller in retaliation for Lucci’s February jail stabbing.
At the time, Atlanta police were covertly recording Garlington’s phone calls through a court-authorized wire tap, and they recorded Garlington tell an associate that McMiller’s mother didn’t want Young Thug to attend McMiller’s funeral.
“We do think that that this relevant given, we believe, that Mr. McMiller and Mr Ford’s murder was a direct result of Mr. Bennett being stabbed in the jail. The evidence, we believe, will show that the stabbing at the jail was done with the permission of Mr. Williams. It was a trickle-down effect,” Hylton said during a discussion outside the jury on Sept. 11.
In August, Whitaker allowed as evidence a wire tap recording of Garlington discussing Ford’s and McMiller’s murders with an unindicted coconspirator whom Chief Deputy District Attorney Adriane Love said is a member of the 30 Deep gang, which is aligned with YSL.
“This is YSL associates getting one another informed so that YSL associates can take necessary steps, we believe, to avenge what has happened,” Love said.
Prosecutors also said in August that after McMiller’s and Ford’s murders, Garlington saw “vile, disrespectful social media posts” from rival gang members, including “pictures of people X’d out next to their child, saying, ‘Now they don’t have a child.’”
“That escalates, significantly, the animosity and violence,” Assistant District Attorney Christian Adkins told Judge Whitaker on Aug. 24.
Drinks’ murder was the catalyst for the racketeering indictment that led to Young Thug’s arrest in May 2022, but 11 months after opening statements, jurors have heard little evidence about it because prosecutors have so far focused on other overt acts and charges such as Thomas’ murder.
That’s one reason jurors haven’t heard much from Harvey and Westmoreland. But their reticence also was part of their game plan, and it began with Harvey declining to give an opening statement and instead reserving until it’s time for the defense to present evidence.
“Our design was to keep a low profile. And, you know, as this thing went on, nobody even remembers him,” Harvey told me. “Everybody else was vigorously litigating every issue, and we litigated those issues and were successful in some, but that was outside the presence of the jury.”
Many of Harvey’s arguments outside the jury focused on the prosecution’s coconspirator theories and his requests for jury instructions that limit certain evidence to one defendant. A licensed lawyer in Georgia since 1977, Harvey once used Gladys Knight and the Pips’ classic song “Midnight Train to Georgia” when asking Whitaker to instruct jurors that a video featuring Stillwell is unrelated to Nichols.
“It would be admitting the actions of the Pips against Gladys Knight and that Midnight Train to Georgia,” Harvey said.
The previous judge, Judge Ural Glanville, coined the term “the Harvey rule” to describe a policy that assumes all defendants are party to a motion made by one, unless stated otherwise.
“We had no necessity to jump up and say, ‘Well, we join that’ or ‘We’re in on that’ or ‘blah, blah, blah’,” Harvey told me on Tuesday. “We were in the background. We wanted the jury to forget all about Mr. Nichols.”
Nichols experienced an unusual moment in the spotlight last week during testimony from rapper Wunnie “SlimeLife Shawty” Lee, who pleaded guilty to a racketeering conspiracy charge in December 2022.
Prosecutors beforehand agreed to redact a “#FreeQua” caption on an Instagram photo being entered as evidence, but they redacted it only on the copy displayed for jurors, not on the copy given to Lee. When Lee read “Free Qua” aloud, Westmoreland told Judge Whitaker, “I have to make a motion,” and Whitaker asked jurors to “step outside for a minute.”
Nichols isn’t the only Qua in trial: His codefendant Marquavius Huey also goes by Qua, and attorneys said there is at least one other YSL associate nicknamed Qua. But it wasn’t the first time jurors had heard wrongful testimony indicating incarceration, and Westmoreland said it’s “painfully obvious that the state is not prepping their witnesses. She pointed to Lee’s earlier testimony that he didn’t know he wasn’t supposed to say someone was in prison.
“We’re just not going to be able to unring 100 bells,” Westmoreland told the judge.
Whitaker said she wouldn’t declare a mistrial with prejudice because she doesn’t believe prosecutors intentionally tried to elicit the testimony to goad the defense into asking for a mistrial.
“If you had seen Ms. Hylton’s face when that came out of the witness’ mouth, she was appalled. And I do not believe that they are purposely trying to insert error into this trial to make y’all ask for a mistrial so that they can try this case again,” Whitaker said. “I’m sorry y’all have this gigantic, ginormous universe of evidence that maybe if you narrowed down you would not be making these kinds of mistakes.”
However, the judge asked defense attorneys if they wanted a mistrial without prejudice, which means prosecutors can seek a second trial. Westmoreland asked for a moment to consider, then the attorneys spoke with Whitaker at the bench before the live stream ended for the day. Court didn’t publicly convene again until Tuesday for Nichols’ change-of-plea hearing.
Harvey told me that last week’s proceedings, which followed weeks of discussion about case mismanagement and unpreparedness, clearly “brought the judge to a tipping point.”
“That generated a flurry of negotiations. Some obviously were not successful … which is why I said that in terms of what was offered Mr. Nichols, it is dramatically different from what every other … person entered into,” Harvey said in our call.
During the hearing, Harvey said Nichols is 29 but will be “a birthday boy” soon — his birthday is Oct. 31 — and is married with a 13-year-old daughter, a 10-year-old daughter and an eight-year-old son.
“Mr. Nichols’ mother died in prison. His father was shot by the Atlanta police when he was four years old, and he was raised by friends and family in the Atlanta area,” Harvey said. “So he has come to this point in his life from a very humble beginning, and he has sought the support of friends in this courtroom and others in this courtroom.”

Enable 3rd party cookies or use another browser
“He is an intelligent young man who I believe has a future,” Harvey continued.
Whitaker asked Nichols if he wanted to say anything, and he declined.
Nichols’ wife, Chyna Nichols, said on YouTube Tuesday night that prosecutors first offered 30 years with 20 served, with the murder charge reduced to involuntary manslaughter. She said Nichols was reluctant to accept the eventual offer of 20 years with seven in prison and the murder charge dropped, but she asked him to do so and reminded him of their children.
Judge Whitaker didn’t have to accept the plea agreement’s negotiated sentence of 20 years with seven in prison and 13 on probation. But she said Tuesday that court rules instruct judges to consider “whether giving leniency in sentencing is going to aid in … more promptness and more certainty with regard to corrective measures,” whether the defendant accepted responsibility and “whether accepting the plea will aid in avoiding further delays, not just with regard to this case, but with regard to the entirety of our system here in Fulton County.”
“This plea does go towards doing all of those things. I am going to accept the plea as negotiated and sentenced in accord with the negotiated recommendation,” Whitaker said.
Whitaker told Nichols to “stay out of all kinds of criminal trouble.”
“Make this a birthday present to yourself and to your children and to your wife and family that you will leave from here today and leave whatever you used to do behind you,” she said.
She said she believes “Mr. Harvey is correct” and Nichols “can be a productive member of society” when he leaves prison.
“This is an opportunity for you to do that, and for you to put your past behind you, the bad parts of it, and continue and make your children proud of you and set a good example for them,” Whitaker said.
She said he wasn’t “lucky enough” to have his parents through his childhood and “I’m sorry about that.”
“But you can be the kind of parent that you ought to be to your children. So I am going to impose that sentence, and I am going to wish you luck and good fortune as you go forth from here,” Whitaker said.
Nichols was transported back to the Fulton County Jail, where he’ll be transported to a Georgia state prison. Before he left the courtroom, he hugged Westmoreland, a licensed lawyer in Georgia since 2018 who was tried other cases with Harvey.
Their involvement in the YSL trial is officially over, but Harvey told me he may return to the courtroom to watch the proceedings occasionally, and he plans to stay in touch with his colleagues who still are defending their clients. Meanwhile, he has plenty of work to do on other cases: The YSL trial is the longest trial in Georgia history, and it’s kept him from other courtrooms many times.
“I have 85 judges waiting in the wings,” Harvey told me. “I’ve already got emails from courts going, ‘Hey, I see you resolved your case. Can you be here tomorrow?’
The trial is to continue Wednesday morning. I’ll be streaming on my YouTube channel. You also can find highlights on my TikTok page.
Thank you for supporting my independent legal affairs journalism. Your paid subscriptions make my work possible. If you’re not already a paid subscriber, please consider purchasing a subscription through Substack. You also can support me through Venmo (MeghannCuniff), CashApp ($MeghannCuniff) and Zelle (meghanncuniff@gmail.com). Thank you!




